二次元クエット流れ
上壁面は一定速度で平行移動するのに対し、下壁面は静止した隙間内を満たす流体の流れ場をクエット流れという。

クェット流れ JSME Mechanical Engineering Dictionary
ここではpimpleFoamを用いて解析を行う
層流モデルなので、constant/turbulencePropertiesはlaminarとします
FoamFile
{
version 2.0;
format ascii;
class dictionary;
location "constant";
object turbulenceProperties;
}
// * * * * * * * * * * * * * * * * * * * * * * * * * * * * * * * * * * * * * //
simulationType laminar;
計算空間
cyclicは他の面と対になって繰り返し構造を定義する
今回のクエット流れのような両端を考慮しない場合に用いられる

FoamFile
{
version 2.0;
format ascii;
class dictionary;
object blockMeshDict;
}
// * * * * * * * * * * * * * * * * * * * * * * * * * * * * * * * * * * * * * //
scale 1e-6; //[µm]
vertices
(
( 0 0 0 ) //0
( 30 0 0 ) //1
( 30 10 0 ) //2
( 0 10 0 ) //3
( 0 0 0.5 ) //4
( 30 0 0.5 ) //5
( 30 10 0.5 ) //6
( 0 10 0.5 ) //7
);
blocks
(
hex (0 1 2 3 4 5 6 7) (60 20 1) simpleGrading (1 1 1)
);
edges
(
);
boundary
(
bottom
{
type wall;
faces ((0 1 5 4));
}
top
{
type wall;
faces ((2 3 7 6));
}
left
{
type cyclic;
neighbourPatch right;
faces ((0 4 7 3));
}
right
{
type cyclic;
neighbourPatch left;
faces ((1 2 6 5));
}
frontAndBack
{
type empty;
faces
(
(4 5 6 7)
(3 2 1 0)
);
}
);
境界条件
top壁がxの接線方向に$1[\mathrm{mm/s}]$で動く
bottom壁は静止し、滑り条件のみを変更する
0.orig/p
FoamFile
{
version 2.0;
format ascii;
class volScalarField;
object p;
}
// * * * * * * * * * * * * * * * * * * * * * * * * * * * * * * * * * * * * * //
dimensions [0 2 -2 0 0 0 0];
internalField uniform 0;
boundaryField
{
top
{
type fixedFluxPressure;
}
bottom
{
type fixedFluxPressure;
}
left
{
type cyclic;
}
right
{
type cyclic;
}
flontAndBack
{
type empty;
}
}
0.orig/U
FoamFile
{
version 2.0;
format ascii;
class volVectorField;
object U;
}
// * * * * * * * * * * * * * * * * * * * * * * * * * * * * * * * * * * * * * //
dimensions [0 1 -1 0 0 0 0];
internalField uniform (0 0 0);
boundaryField
{
top
{
type fixedValue;
value uniform (1e-3 0 0);
}
bottom
{
type slip;
}
left
{
type cyclic;
}
right
{
type cyclic;
}
frontAndBack
{
type empty;
}
}
実際のディクショナリファイルはここからダウンロードしてください
結果
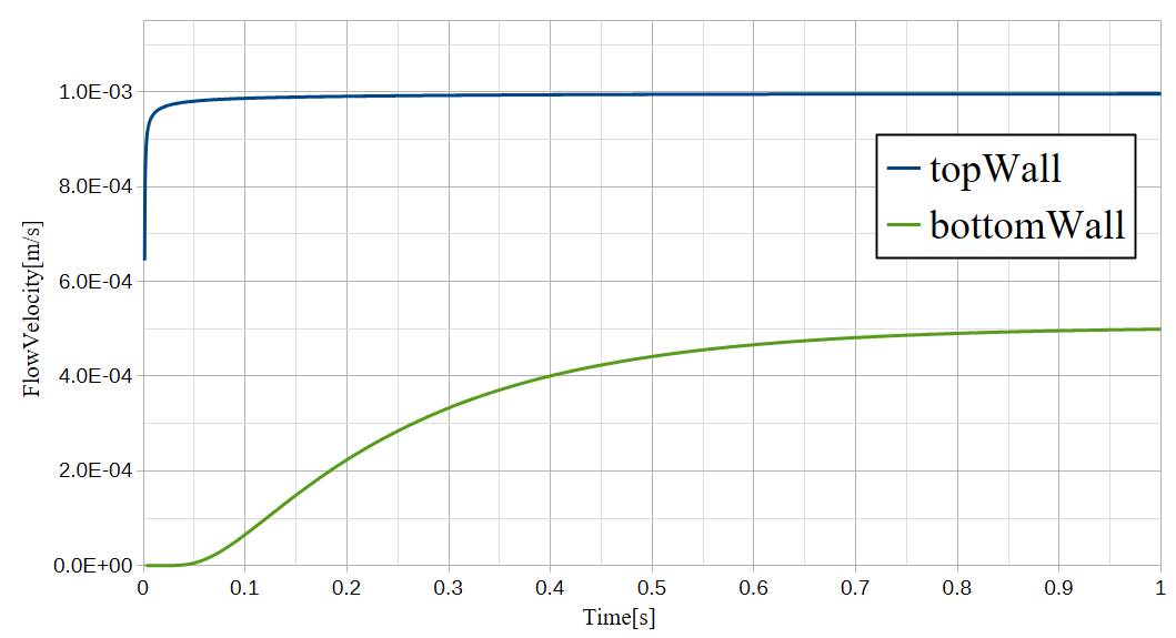
slip
bottomWallに摩擦が無いのでクエット流れではない状態
非定常層流解析のため、時間発展によりbottomWall近傍の流体が加速していく
本解析では粘性を水としているので、水の粘りによってtopWallの速度が伝達される

下図はtopWall近傍の流速とbottomWall近傍の流速の時間発展をグラフ化したもの
初期状態ではtopWall近傍も流速0なので速度が定常になるまでの過渡期がある
bottomWall近傍は水の粘性に従って徐々に定常状態となり、やがて全体の流速が同じになる

noSlip
クエット流れ
slip状態の場合と比較して、定常状態に達するまでの時間が短い
定常状態では、topからbottomにかけて流速が線形減少していることが確認できる

グラフ化すると、bottomWall近傍は完全に流速0ではなく、多少の流速が発生している
おそらくメッシュ解像度を上げることで、bottomWall近傍の定常値は0に近づいていくものと思われる
また、bottomWallの摩擦力が水の粘性で伝達し、topWall近傍にも多少のせん断応力が働いているため、topWall近傍の定常値が減少している

noSlip(Mesh×3)
メッシュの解像度を3倍にした

メッシュ解像度を上げれば、計算点がよりnoSlip壁に近づくため、bottomWall近傍の定常値は0に収束する
このくらいの解像度であれば、ほぼ0といえるくらいの定常値になる

navierSlip(Mesh×3)
使用したソースコード:openfoam-navier-slip
理論的には以下のような式

$U$がtopWallの速度だとすると、滑り長$b$を流路の高さにすればbottomWallの流速は$U$の半分に収束するはず
流路の高さは$10[\mathrm{\mu m}]$なので、滑り長$b=10[\mathrm{\mu m}]$とする

理論通りbottomWallの流速はtopWallの半分に収束している

$1[s]$まで解析したもの↓

各境界条件の過渡期の比較
slip境界:topWall側は壁速度に収束
noSlip境界:理論上は壁速度に収束するはずだが、有限体積法の離散化によって完全な収束はしない。topWallの値は$(壁速度)-(bottomWall側の流速)$になっている
navierSlip境界:これも理論上は壁速度に収束するはずだが、有限体積法のあーだこーだで収束しない。noSlip境界とは異なり、完全に無滑り状態ではないので、滑っている分だけslip境界のように収束する。今回は壁速度の半分になるように滑り長を設定したので、topWall側の定常値はslipとnoSlip(x3)の丁度半分くらい

